پرش به محتوای اصلی
پنل کناری
Besadegh E-learning
فارسی (fa)
English (en)
فارسی (fa)
در حال حاضر از دسترسی مهمان استفاده میکنید (
ورود به سایت
)
شیمی 3 پایه دوازدهم
خانه
درسها
پایه دوازدهم
شیمی 3 پایه دوازدهم
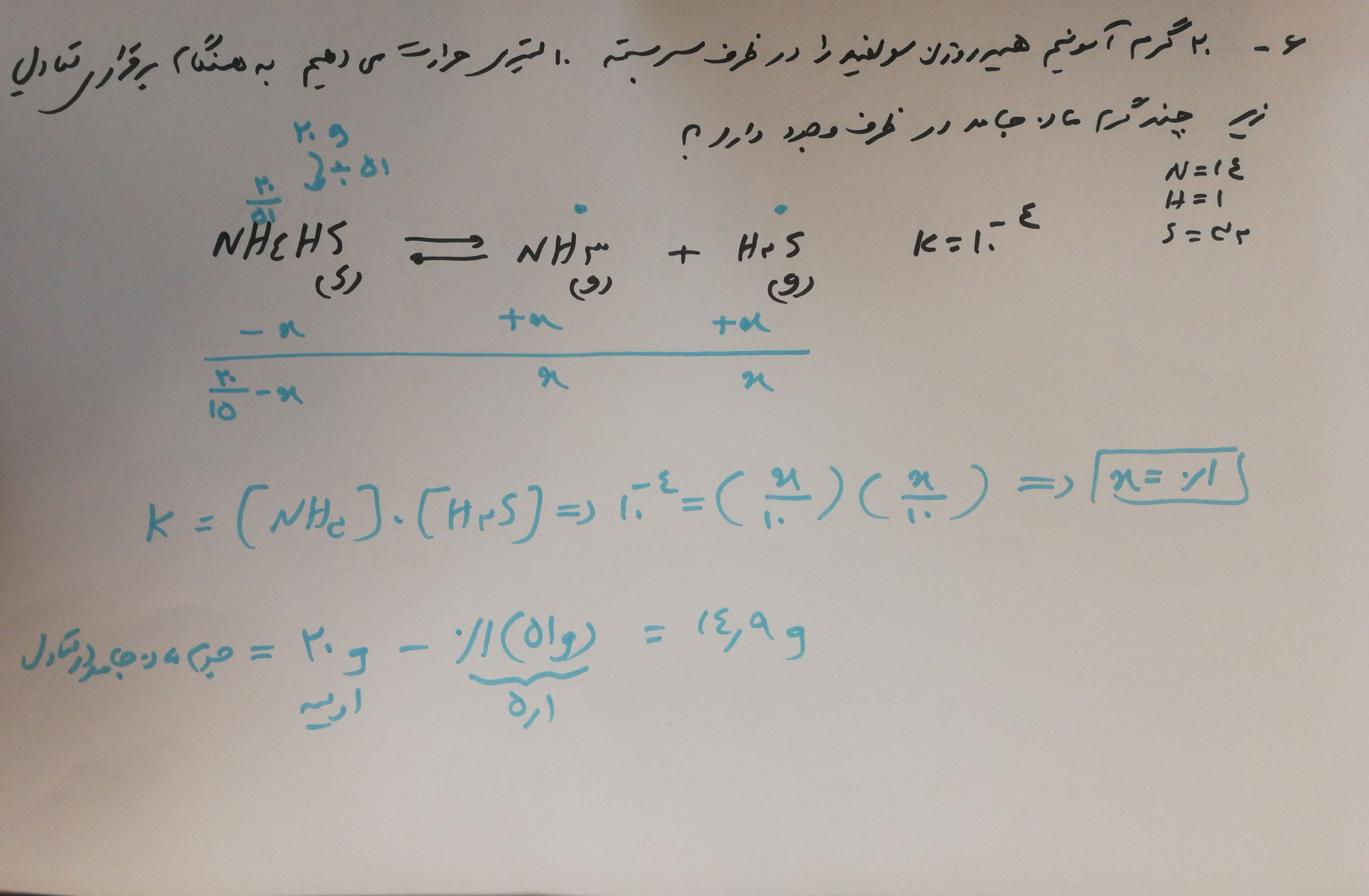
مسائل ثابت تعادل
فایل مربوط به تمرینات حل شده
فایل مربوط به تمرینات حل شده
مدرس جناب آقای اعلمی
1.jpg
7 March 2020، 3:08 PM
2.jpg
7 March 2020، 3:08 PM
3.jpg
7 March 2020، 3:08 PM
4.jpg
7 March 2020، 3:08 PM
5.jpg
7 March 2020، 3:08 PM
6.jpg
7 March 2020، 3:08 PM
7.jpg
7 March 2020، 3:08 PM
8.jpg
7 March 2020، 3:08 PM
9.jpg
7 March 2020، 3:08 PM
شیمی 3 پایه دوازدهم
عمومی
به دنبال هوای پاک و انرژی فعالسازی
مسائل ثابت تعادل
عوامل موثر بر تعادل
خانه
تقویم
► قسمت دوم- حل مسائل ثابت تعادل
رفتن به...
رفتن به...
Announcements
قسمت اول - مرور کتاب
قسمت دوم - نمودار انرژی
قسمت سوم - مرور کتاب
قسمت چهارم- مرور کتاب
قسمت اول- حل مسائل ثابت تعادل
قسمت دوم- حل مسائل ثابت تعادل
عوامل موثر بر تعادل
فایل عوامل موثر بر تعادل
اثر دما بر تعادل
شیمی آلی
مروری بر نکات کتاب - قسمت اول
مروری بر نکات کتاب - قسمت دوم
عوامل موثر بر تعادل ◄